Ride & Handling Comparison of Two- and Three-Axle Heavy-Duty Trucks

Role: Vehicle Dynamics & Handling Lead
Tools: MATLAB, Linear State-Space Modeling, Frequency-Domain Analysis

Project Overview

This project investigated the ride comfort and handling behavior of two-axle and three-axle heavy-duty truck configurations, with the goal of understanding how additional axles influence vehicle stability, steering response, and lateral dynamics. The study combined analytical modeling and simulation to quantify differences in ride isolation, yaw response, and driver control sensitivity across both layouts.

While the project covered both ride and handling performance, my primary responsibility was the complete development and analysis of the handling models, including geometry definition, equation derivation, state-space formulation, and response evaluation.

Geometry of 2-axle Truck

Geometry of 3-axle Truck

Handling Objectives & Performance Metrics

The primary objective of the handling portion of this project was to quantify how the addition of a third axle affects vehicle stability, steering response, and lateral dynamics in heavy-duty trucks. Rather than evaluating handling qualitatively, I focused on measurable vehicle dynamics metrics commonly used in industry and motorsports applications.

Key metrics evaluated included:

  • Yaw rate response to steering input

  • Lateral acceleration gain

  • Sideslip angle behavior

  • Steering sensitivity and response speed

These metrics allowed direct comparison of how each vehicle configuration responds to driver steering inputs and how stable or sensitive the vehicle is during lateral maneuvers.

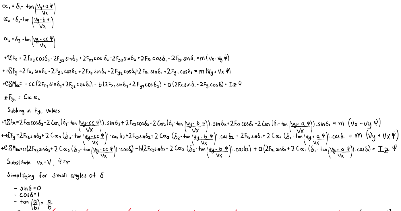
Bicycle Model of 3-axle truck during turning

Free Body Diagram of 3-axle truck during turning

Modeling & Solution Method

Both vehicle configurations were modeled using linear bicycle models, expanded to account for the additional rear axle in the three-axle truck. Vehicle geometry, center of gravity location, axle spacing, and mass properties were explicitly defined to ensure physically consistent comparisons.

Tire modeling was treated as a critical input to the handling analysis. Representative commercial truck tires were selected, and cornering stiffness values were derived from a Michelin truck tire technical reference. Stiffness trends were digitized and extrapolated to obtain linear cornering stiffness values, which were then distributed across the front, middle, and rear axles based on axle loading and geometry. This ensured that lateral force generation was driven by realistic tire behavior rather than assumed parameters.

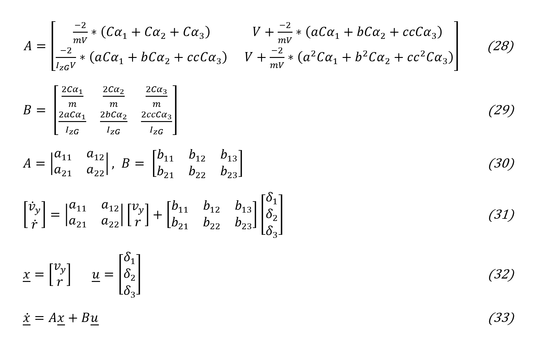
Starting from lateral force and yaw moment equilibrium under small-angle assumptions, the equations of motion were derived and assembled into state-space form, using:

  • States: lateral velocity, yaw rate

  • Input: front axle steering angle

  • Outputs: yaw rate, lateral acceleration, sideslip angle

The three-axle model explicitly captured the additional rear axle’s lateral force contribution and its effect on yaw dynamics. The resulting models were implemented in MATLAB and evaluated using both time-domain simulations and frequency-domain response analysis.

Cornering Stiffness Plot from Michelin Truck Tire Technical Reference

Matrix Definitions for Model Analysis

Handling Analysis

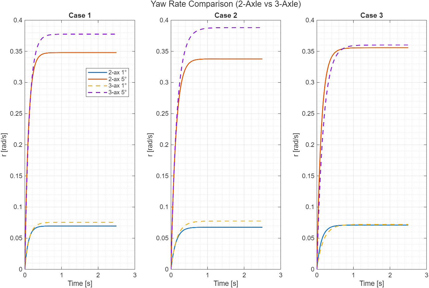
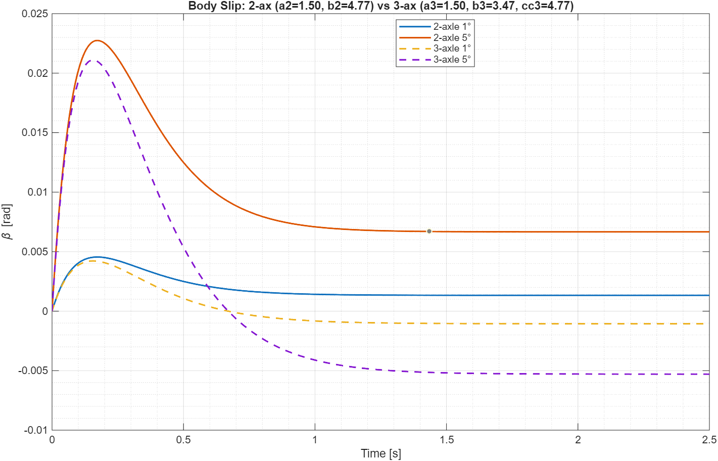
The handling comparison focused on how geometric differences between the two- and three-axle trucks influenced lateral force generation and yaw response. The addition of a third axle increased the total tire contact patch, allowing the vehicle to generate greater lateral force through increased slip reminder and tire contribution at the rear of the vehicle.

Simulation results showed that the three-axle truck produced greater lateral force at the rear, creating a larger yaw moment. However, the additional axle also increased the overall system inertia and moment arm, resulting in a slower transient response to steering inputs compared to the two-axle configuration.

Bode analysis showed that the three-axle truck exhibited lower steady-state gain, meaning it produced less lateral acceleration per unit steering input. In contrast, the two-axle truck showed slightly higher gain, indicating a more responsive but less load-capable system.

The minimum gain point at the natural frequency was lower for the three-axle configuration, indicating a reduced response magnitude at resonance. This behavior reflects the increased complexity and sensitivity introduced by the additional axle and moment arm.

Body Slip Angle Comparison between 2-axle and 3-axle Trucks

Front Slip Angle Comparison between 2-axle and 3-axle Trucks

Final Results & Handling Insights

The finalized results highlight distinct handling characteristics between the two configurations:

  • Yaw generation:
    The three-axle truck generated larger yaw moments due to increased lateral force from the additional rear tires, enabling it to sustain turning behavior under heavier loads.

  • Response speed:
    The two-axle configuration responded more quickly to steering inputs, while the three-axle configuration was slower to respond and slower to settle due to increased inertia and moment arm effects.

  • Steady-state gain:
    The three-axle truck exhibited lower steady-state gain, resulting in reduced lateral acceleration per steering angle compared to the two-axle truck.

  • Stability and control:
    The Bode plots showed that the two-axle truck had a higher and more consistent gain profile, making it smoother and easier to control. The three-axle truck was more sensitive to steering input and geometric changes, particularly center-of-gravity shifts.

  • Sensitivity to geometry:
    The three-axle configuration demonstrated significantly higher sensitivity to variations in vehicle geometry and center-of-gravity location. Changes in rear axle loading produced larger variations in yaw rate and system response due to increased tire stiffness and moment arm effects.

Lateral Acceleration Gain Comparison between 2-axle and 3-axle

Yaw Rate Comparison of 2-Axle and 3-Axle Trucks at 1 and 5 degrees of Yaw in Different Geometric Cases

Key Takeaways

Additional rear axle increases lateral force capacity and yaw moment generation

  1. Three-axle truck turns more effectively under heavy load but responds more slowly

  2. Two-axle truck is quicker to respond and smoother, but has lower turning capability

  3. Three-axle configuration is more sensitive to geometry and loading changes

  4. Handling differences are driven by tire force distribution and moment arm effects

Previous
Previous

Clemson FSAE Ride and Steering Compliance

Next
Next

Vehicle Concept Proposal